DELI est Sulfobutyl beta cyclodextrin 182410-00-0 fabrica. Productum nostrum DMF numerus est 034773. Systema administrationis societatis ISO 9001:2015 certificatione transiit.

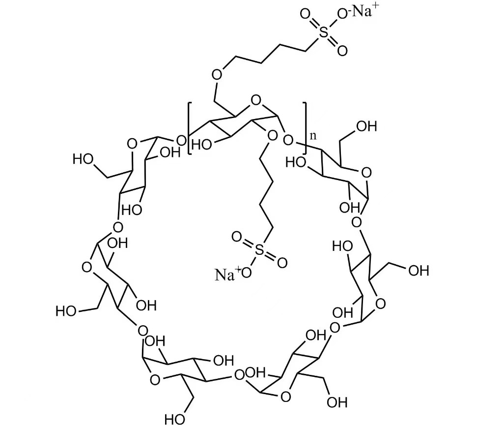
Sulfobutyl beta cyclodextrin 182410-00-0 est alta puritas cyclodextrin anionica derivativa cum optima aqua solubilitate. Pro chemico beta-cyclodextrin mutato, Sulfobutyl beta cyclodextrin 182410-00-0 late adhibetur ut exceptam pharmaceuticam ad meliorem formulam faciendam de rebus pharmaceuticis male solutis activae.
Sulfobutyl beta cyclodextrin 182410-00-0 formae complexorum inclusionum stabilium non-covalentium cum moleculis medicamentorum, praesertim nitrogenio-compositorum continentium. Per encapsulation hypothetica, Sulfobutyl beta cyclodextrin 182410-00-0 insigniter auget solutionem medicamentorum, stabilitatem, et bioavailability dum salus melioris formulationis.
In applicationibus pharmaceuticis, Sulfobutyl beta cyclodextrin 182410-00-0 adiuvat toxicitatem renum reducere, hemolysin minuere, pharmaca emissio rates moderari, et odores ingratus larva. Commoda haec faciunt Sulfobutyl beta cyclodextrinum 182410-00-0 aptissimum ad formas sensitivas dosis.
Sulfobutyl beta cyclodextrinum 182410-00-0 functiones efficaciter ut solubilizer, udus agentis, agentis chalante (agente implicativo), agente larvante polyvalente. Ob eximiam eius profile biocompatibilitatem et salutem, Sulfobutyl beta cyclodextrin 182410-00-0 late applicatur in formulas pharmaceuticae, orales, nasi et ophthalmicae pharmaceuticae.
Ut magni momenti mutatio producta e beta-cyclodextrin, Sulfobutyl beta cyclodextrin 182410-00-0, independenter evoluta et fabricata est a societate nostra. Sulfobutyl beta cyclodextrin 182410-00-0 maxime adhibetur ut exceptam pharmaceuticam in formulis pharmaceuticis in quibus pharmaceutico et injectabili praeparatione provectus est.

Xi'an Deli Industry Biochemical Co., Ltd. est fabrica professionalis specialis in investigationis, progressione et productione derivationum cyclodextrinorum et cyclodextrin. In MCMXCIX, XI'an Deli Co. Industry Biochemical, Ltd. plus XX annos experientiam faciendi in excipientibus pharmaceuticis habet et in mercatis pharmaceuticis, veterinariis et chemicis globali inservit.
Xi'an Deli Industry Biochemical Co., Ltd. focuses in cyclodextrino pharmaceutico-gradu, inter Sulfobutyl beta cyclodextrin 182410-00-0 et Hydroxypropyl Betadex. Omnes producti sub stricta qualitate administrationis systematis procreantur et pharmacopeiae internationalis exigentiis obtemperant ut USP et EP.
Pro Sulfobutyl beta cyclodextrin 182410-00-0, Xi'an Deli Industry Biochemical Co., Ltd Una massa productionis capacitatis usque ad 2.5 talenta metrica attingit, cum capacitate productionis annua centum talenta metrica excedens. Hoc certa copia praestat tam orci evolutionis quam vestibulum pharmaceuticae commercialis.
Xi'an Deli Co. Industry Biochemical, Ltd. subsidia technica et moderantia plena praebet, in iis COA, MSDS, notitia stabilitatis, auxilium formulationis. Libera exemplaria aestimationis praesto sunt, et officia global navigia clientes internationales adiuvant.

CAS No.: 182410-00-0
Standard: EP / USP
Formula hypothetica: C42H70-nO35·(C4H8SO3Na)n
Specification: 500 g/peram; 1 kg/bag; X kg / pera vel tympanum
Categoria: Pharmaceutical excipiens
Repono: Signatus, arida conservatio
Vita fasciae: 36 months
Sulfobutyl Ether Beta Cyclodextrin Pulvis Injectable Grade Pharmaceutical Excipient
Betadex Sulfobutyl Ether Sodium CAS NO 182410-00-0
Sulfobutyl Ether Beta Cyclodextrin Sodium
Betadex Sulfobutyl Ether Sodium Iniectio Grade
Betadex Sulfobutyl Ether Sodium SBECD Injectable Gradus ad medicamentis formulae
Betadex Sulfobutyl Ether Sodium CAS 182410-00-0