High-Quality Pentium Sulfobutyl Ate Sodium (Sbe-β-CD) - PHARMA Part Part (CAS 182410-00-0. Improves solubility, stabilitatem & bioavailability.
	 
 
	
Tetadex Sulfobutyl Aethe Sodium (Sbe-β-CD) - PHARMA Part Part (CAS 182410-00-0
	
Specie Alba pulveris, dulcis, insipidus et innocua
	
Fascel vitae, XXXVI mensibus
	
Grade, iniectio gradu
	
Application: Pharmaceuticals Feild
	
Latin: USP, Album
	
Solubility: ≥100 (XXV ℃, G / 100ml)
	
Gravis Metal: ≤0.0025%
	
Reducing Sugars: ≤0.05%
	
	
Sulfobutylether-β-cyclodeextrin pharmaceutical excipient non solum potest augere medicamento solubility, amplio stabilitatem et salus de medicamento, quod potest reducere ad stilities ad iniectio situm administrationis, quod potest reducere in excitanda ad sanguinem concentration requiritur, paratum tempus medicamento actio.
	
Inranasal medicamento habens celeri effusio, ieiunium agens, princeps bioavailability, convenient administrationem, facile accipere aegris, et vitare iecoris primis transiet effectum et aliis commoda, quae in hotspots in pharmaceutical investigationes. Tamen, ex humilis penetratio nasi medicinae, multis enzymes in nasi cavitatis potest facere degradation et nasi adhaesionem.
	
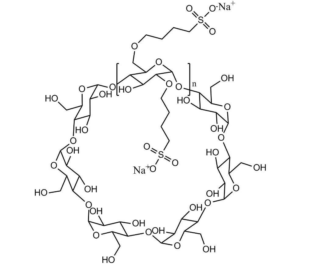
Sulfobutylether-β-cyclodeextrin pharmaceutical excipient est sodium sal produci cum tribuitur, cum Porphyrio est alkaline per 1,4-butanesulfonic acidum lactone sub alkaline conditionibus. Est anion, altus aquam, solutum Retadex inde. Sulfobutyllether-β-CyclodExtrin pharmaceutical excipient potest esse bene combined cum medicamento moleculis ad formare non-covalent ita crebro stabilitatem, aquam solubility, et salus medicamento, reducendo eius renum, et salus rate, covering malum, etc.
	
	
	 
 
	
Xi'an Deli Biochemical Industry Co., Ltd. Est summus tech coeptis specialiter in investigationis & progressionem, productio & venditionesque de Cyclodextrin et ejus derivationes.
Cum suam de instauratione in August XXVII, MCMXCIX, in comitatu est adhaerens ad qualis consilium de "focusing in accessiones, qualis primus, sincera servitium, nititur ad primum-genus, sincerum, certando pro primo-genus '. Post plus XX annis et progressionem et progressionem, in comitatu currently habet products Deli Brand Hydroxypropyl Retadex, Deli Brand Tob Sulfobutyl Aethe Sodium. Et supra products sunt relatus et filed cum FDA.
	
	