Keywords:Betadex Sulfobutyl Ether Sodium
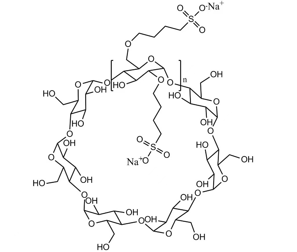
Betadex Sulfobutyl Ether Sodiumpharmaceutical technica excepta verti habet. Hoc cyclodextrinum aquae solutum valde derivativum efficit ut complexiones inclusionum stabilium cum ingredientibus pharmaceuticis activorum (APIs) formare valeant, ut medicamenta quae antea a paupere solubilitate et instabilitate limitantur.
Per signanter meliore medicamento injectabili solubilitatem, bioavailbilitatem et salutem, Betadex Sulfobutyl Ether Sodium criticum in hodiernis systematis partus pharmacis effecta est. Eius unica structura hypothetica permittit pharmacum hydrophobicum moleculae ut amet viabilis efficiatur per encapsationem hypotheticam efficientem.
Male compositiones solubiles pergunt ad systemata partus pharmaca provocare. Traditionalis formula strategies saepe non potest adaequatam solutionem vel stabilitatem consequi, ne multi candidati medicamentorum promittentes aegros attingant. Investigatio pharmaceutica moderna magis magisque innititur progressivis excipientibus ad has limitationes superandas servato patienti salute.

Sulfobutyl aether cyclodextrinuscyclodextrinum anionicum derivativum creatum est introducendo circulos sulfobutylos in beta-cyclodextrin narum. Haec modificatio structuralis dramatically auget solubilitatem aqueam comparatam cum cyclodextrinis indigenis.
Formae exceptae inclusiones non-covalentes complexiones cum moleculis medicamentorum. Cavum hydrophobicum interiorem cyclodextrinum exercituum APIs lipophilicorum, dum hydrophilica superficies externae solutionem aquae conservat. Haec encapsulatio pharmacokineticos emendat et sensitivas compositiones a chemica degradatione tuetur.
Substitutio gradus directe influit solutionis efficientiam. Superiores gradus substitutionis solubilitatem emendant, sed optimalis effectus conpensationem solutionis potentiae cum salute requirit.
Studia scientifica demonstrant Betadex Sulfobutyl Ether Sodium actionem haemolyticam inferiorem exhibere et cumulum renum cum multis solubiliariis conventionalibus comparatum imminuisse, idoneos reddens ad administrationem parentalem repetitam.
Multi procuratores antifun- ges solubilitatem aquae pauperis laborant, usum injectabilem circumscribentes. Betadex Sulfobutyl Ether Sodium complexiones stabiles format cum medicamentis sicut voriconazolum et posaconazolum, quae efficaces formulas injectabiles efficiunt.
Vltra solutionem solutionis, complexio auget pH tolerantiam et stabilitatem repositam, fasciae extendens vitam et effectus medicinales meliores pro contagione fungalorum incursantium.
Medicamenta antiviralia saepe inveniunt solubilitatem claustrorum quae partus parentum coarctant. Sulfobutyl aether cyclodextrinum dat formulas injectabiles stabiles, APIs ab degradatione tutando et emissionem moderatam elaborando.
Successus formularum remdesiviricarum elucidat momentum solutionis cyclodextrin-fundatae in tractando gravium viralium infectiones ubi celeris et certa pharmacum traditio critica est.
Multi agentes anticantores exhibent solubilitatem aqueam humilem, impedientes evolutionem clinicam. Betadex Sulfobutyl Ether Sodium formulam harum potentium compositorum concedit, servato in profile salute secunda.
Eius textus humilis cumulus et toxicitas imminutae sunt praecipue validae pro oncologia therapiae repetitae dosing, ac superiores therapeuticas expositionem cum meliore tolerabilitate efficiunt.
Subitis cardiovascularibus cura saepe nititur medicamentis injectbilibus rapido impetu. Haec excepta dat formulas stabilis agentium cardioactivorum male solutorum.
Humilis actio haemolytica Betadex Sulfobutyl Ether Sodium facit eam maxime idoneam patientibus munus cardiaci suspecti qui accentus haemolyticos tolerare non potest.
Aegri pediatrici et geriatricis saepe faciem provocant cum formis dosis oralis. Formulae injectabiles et liquidae utentes sulfobutylo aethere cyclodextrino certo medicamento partus per aetates circulos praebent.
Encapsulationis hypotheticae etiam larvae saporis injucundi, patienti obsequio meliori, praesertim in formulis pediatricis.
Rarae therapiae morbus saepe APIs cum complexis proprietatibus physicochemicis involvunt. Betadex Sulfobutyl Ether Sodium adiuvat solubilitatem provocationum superare sine ampla revelopmento excepta.
Eius salus stabilita profile et scalabilis fabricatio periculum moderatorium et progressionem minuunt, orphanum medicamento mercaturae accelerans.
Cyclodextrin encapsulation APIs ab hydrolysi, oxidatione et photodegradatione custodit per circulos reactivos physice protegens.
Haec stabilitas amplificationem globalem distributionem sustinet, praesertim in regionibus infrastructuram frigidae catenae limitatis.
Xi'an Deli Industry Biochemical Co., Ltd. producit super 26 annos peritiae in fabricando cyclodextrin. Quaelibet massa rigide probatur pro gradu substitutionis, immunditiis, endotoxinis.
Cum facultatem productionis annuae ducentas amphoras metricas ex Betadex Sulfobutyl Ether Sodium excedentes, facultates nostrae stabilem et diuturnum pro applicationibus applicationibus clinicis et commercialibus copiam praestant.
Processus fabricandi validae massam variabilitatem extenuant, pharmaceuticae clientes permittunt ut formulas robustas et reproducibiles designent.

Producti nostri maioribus requisitis pharmacopoeis obtemperant, praestantes artifices pharmaceuticos cum fiduciae qualitate et regulatory per mercatus globali constantes.
Expandentes litteras scientificas et approbationes regulatorias pergunt ad ampliorem adoptionem Betadex Sulfobutyl Ether Sodium fovere in systematis medicamentorum partus provectis.
Optima formatio complexa equilibrii et malivolentiae essentialis est ad solutionem optatam consequendam amplificationem et medicamentum emissionis profile.
Complexorum inclusio possunt methodos analyticos aptas requirere ad APIs accurate quantitare. Validated, specificae artes analyticae criticae sunt.
Compatibilitas studiorum stabilitatem obtinet diuturnum formulae cum exceptionibus multiplicibus in compositione adhibitis.
Gene therapiam, cellam therapiam et medicinam personalem repraesentant areas pollicentes pro cyclodextrin-substructio technologiarum partus.
Derivationes cyclextrinae fixum-dose iuncturas cum stabili missione et stabilitate moderata efficiunt.
Systemata hybridorum cyclodextrinarum cum nanoparticulis componendo novos fines aperiunt in partus medicamento iaculis.
Cum progressionem pharmaceuticam promovet, Betadex Sulfobutyl Ether Sodium pergit alloqui formulationem complexam provocat servans profile salutem optimam. Eius versatitas per areas medicinales eam necessariam excipit pro medicamento generationis rationum proximae.
Q: Quid facitsulfobutyl aut cyclodextrinprae ceteris agentibus solubilizing?
A: offert inferiorem toxicitatem, haemolysim reductam, complexionem convertibilem, et stabilitatem medicamentorum meliorem cum menstrua et surfactants organicis comparata.
Q: Quomodo gradum substitutionis afficit effectus?
A: Superius substitutio solubilitatem ampliat, sed optimalis effectus conpensationem solutionis efficientiam et salutem requirit.
Q: Potestne in oralibus formulis adhiberi?
A: Ita, licet praesertim ad injectabilia destinata, augere potest solubilitatem in formulae orali, quae iustificatur per beneficium therapeuticum.
Betadex Sulfobutyl Ether Sodiumex Xi'an Deli Industrii Biochemical Co., Ltd. solutionem securam, stabilem et scalabilem praebet formulae medicamentorum injectabiles. Contact us atxadl@xadl.comdiscere magis.