Industria News

Cyclodextrin-Solutions Substructio pro Solubilitate et stabilitate Enhancement

2025-12-23 - Relinque mihi nuntium

Cyclodextrin-Solutions Substructio pro Solubilitate et stabilitate Enhancement

Technical Overview of Hydroxypropyl Betadex et Betadex Sulfobutyl Ether Sodium

Cyclodextrinus late agnoscitur pro facultate solutionis ac stabilitatis male soluti compositionum sensitivarum vel chemicarum emendandi. Propter unicam structuram cyclicam hypotheticam, cyclodextrinae et earum derivationes magnae functiones factae sunt excipientes per campos pharmaceuticos, chemicas et formulas cognatae. Propter requisita technica et regulatoria augenda, Xi'an Deli Biochemical documenta technica et producta subsidia ulterius excoluit pro suis derivationibus cyclodextrin clavis:hydroxypropyl betadex (HPBCD) et betadex sulfobutyl aetheris sodium (SBECD).


Characteres structurales et euismod functiones Cyclodextrins

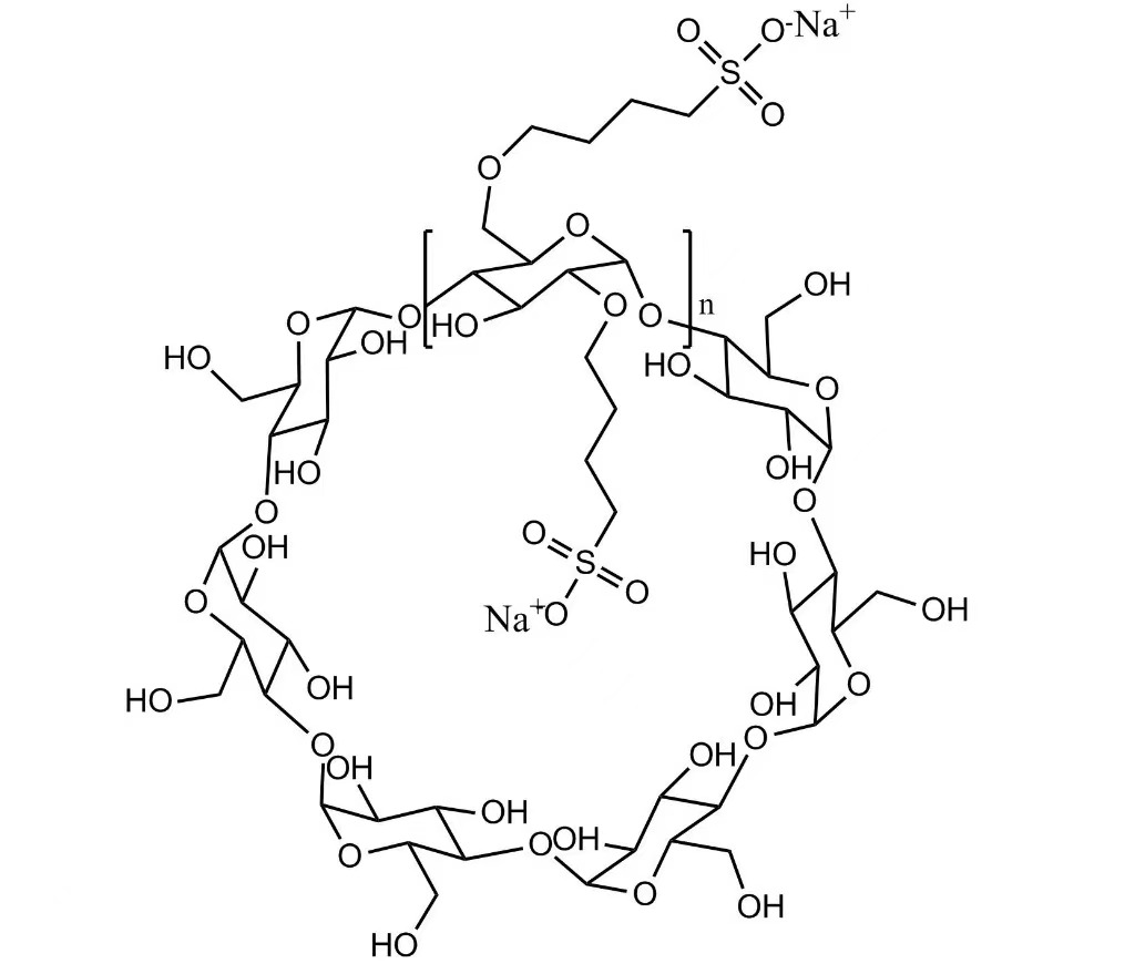
Cyclodextrinae sunt cyclicae oligosaccharides compositae ex unitatibus glucosis cum vinculis glycosidicis α-1,4 connexis. Eorum architectura hypothetica notat superficiem hydrophilicam et cavitatem internam hydrophobicam respective, formationem complexuum inclusionis cum moleculis hospitum amplis. Modificatio chemica structurae cyclodextrinis signanter augere potest aqueam solubilitatem et applicatione versatilitatis dilatare.


Hydroxypropyl Betadex (HPBCD)


Hydroxypropyl betadex chemica modificatur β-cyclodextrinum dispositum ad superandam solubilitatem cyclodextrinorum indigenarum limitatam. Aucta eius aqua solubilitas et compatibilitas favorabilis efficiunt HPBCD applicationes aptas quaerunt solutionem efficacem, stabilizationem et flexibilitatem formulae per diversa systemata.


Betadex Sulfobutyl Ether Sodium (SBECD)


Aether Betadex sulfobutyl sodium est cyclodextrin anionicum derivativum a sulfobutylo substituentibus. Haec compages electrostaticas interactiones cum certis compositionibus auget, solutionem incomplexam stabilitatemque incomplexam adiuvans, et robustam in applicationibus exigentibus formulam adiuvans.

Normatum Product Information and Technical Support

Ad meliorem formulam evolutionis, aestimationis qualitatem et processuum procurationem sustentandam, Xi'an Deli Biochemical productum informationes systematice renovavit pro HPBCD et SBECD, inter quas:


  • Distinxit et normatum productum specificationes et parametri analyticas
  • Batch Utilia Testimonia Analysis (COA) ut traceability et qualis verificationis
  • Expanded FAQs technicas tractationes, repositiones, applicationes typicas
  • Optimized product summaria ordinantur ad faciliorem reddendam technicam recensionem ac electionem


Hae emendationes proponuntur ad perspicuitatem augendam, aestimationem minuendam, et sustentationem constantem producti operis per currendi copiam.


Vestibulum Usus et Qualitas Assurance

In MCMXCIX constituti, Xi'an Deli Biochemical XXVI annos experientiae in fabricandis derivationibus cyclodextrinis affert. Societas ad productionem moderatam hydroxypropyl betadex et betadex sulfobutyl aetheris sodium spectat, processum constantiam effert, batch-ad-batch constantiam, et stabilitatem diu terminus supplet. Qualitas procuratio structurae instituta clientium technicam, regulatoriam et transmigrationem requisita sustentant.


Application Scop et Technical Collaboration

Ex cyclodextrin inclusione et stabilizatione mechanismi, HPBCD et SBECD per multiplices campos technicos applicantur, inter formulas pharmaceuticas relatas, oeconomiae propriae, productorum veterinarii, et alia systemata quae ad solutionem ac stabilitatem augendam requirunt. Xi'an Deli Biochemical cum sociis concurrere pergit per communicationem applicationem-focused et technicam cooperationem ad necessitates formulationis evolutas sustinendas.


De Xi'an Deli Industry Biochemical Companies

Fundata in MCMXCIX, Xi'an Deli Industriae Biochemicae Companies est specialis fabrica derivationum cyclodextrinorum, quae hydroxypropyl betadex (HPBCD) et betadex sulfobutyl aetheris sodium (SBECD) praebet. Cum diuturno focus in producti constantiae, speciei perspicui et subsidii technici practici, manet societas commissa ad solutiones certas cyclodextrin-fundatas comparandas.


Si vis, possum etiam;


  • Praeterea optimize hoc pro Google SEO (sine sono technico)
  • Condensa in pagina producti "Renovatio Technical" versio
  • Accommodare ad regulatory / qualitas focused customers


Cedo mihi ubi id praedicare instituis.


Mitte Inquisitionem


icon
X
Crusulis utimur ut meliorem experientiam pasco tibi praebeamus, situm negotiationis et personalize contentus analyse. Hoc situ utendo, ad nostrum crustulorum usum consentis. Privacy Policy
Reject Accipe